46+ line of intersection of two planes calculator
Find the directional vector by taking the cross product of n α and n β such that r l n α n β. Or they do not intersect cause they are parallel.
Symmetric Equations For The Line Of Intersection Of Two Planes Krista King Math Online Math Help
Web Free Angle a Calculator - calculate angle between line inetersection a step by step Solutions Graphing.

. Web This means that every point xyz that satisfies that equation is a member of the plane. Web begingroup In this case wouldnt it be obvious. Web The intersection line between two planes passes through the points 10-2 and 1-23 We also know that the point 24-5is located on the plane.
Web Imagine you got two planes in space. A point with coordinates x 0 y 0 z 0 is a point of intersection of the line through A B and the plane P if it satisfies. A x b y c z d.
As you would get x a certain number which if you have the other plane you can put that number in to x and. Web Free Plane Geometry calculator - Calculate area perimeter sides and angles for triangles circles and squares step-by-step. Added Jan 20 2015 by GRP in Mathematics.
Web The equation of the 3D plane P is of the form. Web Two Planes Intersecting in a Line. There are three possibilities.
A2x b2y c2z d2 0. Embed this widget. This gives us the direction vector o.
Web Share a link to this widget. A1x b1y c1z d1 0 P2. Web Here you can calculate the intersection of a line and a plane if it exists.
They may either intersect then their intersection is a line. Calculate the coordinate xyz of the unique point of intersection of three. The dotted line represents the line of intersection of these two planes.
What are the normal vectors of each plane. By equalizing plane equations you. The line could intersect the.
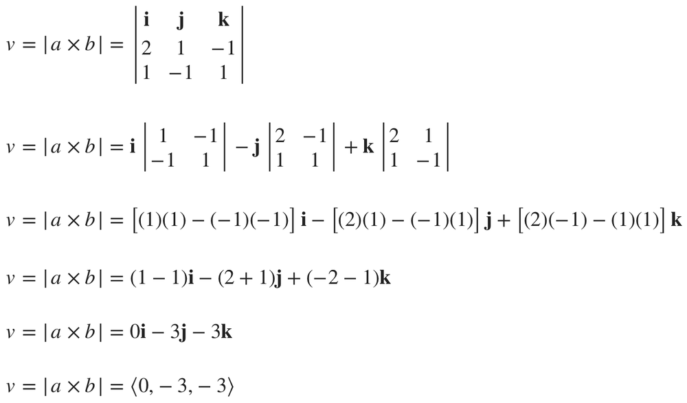
Web To find the line of intersection of two planes we calculate the vector product cross product of the 2 planes normals. If two planes are not parallel nor coincident then they must intersect along a line. In this example the planes are x 2y 3z -4 and x - y - 3z 8.
Web The Line of Intersection Between Two Planes. System of Inequalities Polynomials Rationales Complex Numbers. Do a line and a plane always intersect.
Online Calculator Distance Between Two Planes
Search Results For R2 Samacheer Kalvi
Free Plane Intersection Calculator
Free Plane Intersection Calculator
Line Of Intersection Of Two Planes Youtube
Effects Of Polarity On The Structures And Charge States Of Native Like Proteins And Protein Complexes In The Gas Phase Analytical Chemistry
Search Results For 2g Samacheer Kalvi
Olcbtuqqd6flrm
Calendar Leap Cycles
The Intersection Of Two Planes Calculator Find The Point Of Intersection
Algorithm Finding The Line Along The Intersection Of Two Planes Stack Overflow
Free Plane Intersection Calculator
Search Results For 2g Samacheer Kalvi
Search Results For R2 Samacheer Kalvi
Browse Questions For Calculus 1 Ab
Olcbtuqqd6flrm
Free Plane Intersection Calculator